草甘膦提到這種物質相信很多與土地打交道的人都不會陌生。作為一種廣譜有機磷類除草劑,在我國的大江南北都能見到它的身影,雖然草甘膦的出現對于農業豐產起到了非常大的幫助,但不合理的濫用會對水源、土壤等生態系統造成污染。
水質中的草甘膦一般采用離子色譜法進行檢測,其原理是用淋洗液攜帶水樣進入分離柱后,草甘膦與有離子交換功能基的平衡離子爭奪色譜柱上離子交換位置。通過淋洗液的不斷淋洗,草甘膦從色譜柱上洗脫下來,實現了分離。通過抑制器大幅度降低淋洗液的電導值,經檢測器得到其色譜峰。方法用保留時間定性,峰面積定量。此方法檢測限為0.046 mg/L,測定下限為0.19 mg/L。
1.脫氯劑:硫代硫酸鈉,分析純。
2.草甘膦標準物質:有證標準物質,純度96?%以上。
3.硫代硫酸鈉溶液:100?mg/L。
取0.1?g硫代硫酸鈉,用實驗室一級純水溶解并定容至1?000?mL,4?℃以下冷藏避光保存。
4.草甘膦標準貯備液:1000mg/L。
準確稱取0.104?2?g草甘膦標準物質,不同純度草甘膦標準物質按照純度校正后稱量,實驗室一級純水溶解并稀釋定容至100?mL容量瓶中,配制成1?000?mg/L的草甘膦標準貯備液;密封,4?℃以下冷藏避光保存,待用。此溶液有效期30?d。
5.草甘膦標準使用液:10?mg/L。
準確吸取1.00?mL草甘膦標準貯備液至100?mL容量瓶中,實驗室一級純水稀釋至刻度,配制成10?mg/L標準使用液,此溶液現用現配。
1.離子色譜儀
具電導檢測器、淋洗液發生器或等效裝置、陰離子抑制器。
2.色譜柱
陰離子分析柱填料為乙烯乙基苯二乙烯基苯共聚物;官能團為烷醇季銨或烷基季銨;陰離子保護柱填料為乙烯乙基苯二乙烯基苯共聚物;或者A Supp 5-150陰離子色譜柱(4?mm×150?mm)和4/5 G保護柱(4?mm×50?mm)或等效色譜柱。
3.樣品過濾器
水系尼龍材質,濾膜孔徑0.45?μm。
4.容量瓶:100?mL和1?000?mL。
5.分析天平:感量0.1?mg。
6.玻璃單標線吸量管:1?mL和10?mL。
7.刻度吸管:10?mL。
檢測儀器參數
氫氧根系統儀器參數設置:
淋洗液流速:1.0?mL/min;
淋洗液濃度:30?mmol/L,等度淋洗;
抑制器電流:75?mA;
進樣體積:100?μL。
碳酸根系統儀器參數設置:
淋洗液流速:0.7?mL/min;
淋洗液濃度:8.0?mmol/L碳酸鈉溶液;
再生液濃度:90?mmol/L硫酸溶液;
進樣體積:100?μL。
校準曲線的繪制
分別用刻度吸管移取0?mL、2.00?mL、4.00?mL、6.00?mL、8.00?mL和10.00?mL草甘膦標準使用液于100?mL容量瓶中,用實驗室一級純水配制成草甘膦濃度分別0?mg/L、0.20?mg/L、0.40?mg/L、0.60?mg/L、0.80?mg/L和1.00?mg/L標準系列,此系列溶液現用現配。將標準系列由低到高分別上機測定,以草甘膦的峰面積為縱坐標,濃度為橫坐標,繪制校準曲線。
水樣測定
將已經處理好的試樣用離子色譜儀測定,根據草甘膦的峰面積由校準曲線得到草甘膦的濃度。如果水樣中草甘膦的濃度超出校準曲線線性范圍時,應將水樣稀釋至校準曲線線性范圍內再測定。
空白試驗
按照檢測操作步驟,測定預先處理好的空白試樣,記錄峰面積。
檢測結果表示
定性分析
根據標準色譜圖中草甘膦的保留時間確定被測樣品中的草甘膦。

定量分析
根據色譜圖上草甘膦相應的峰面積進行定量分析。

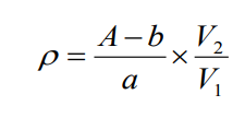
水質中草甘膦的濃度可以根據公式計算得出:
式中:
ρ——水樣中草甘膦的質量濃度,單位為毫克每升(mg/L);
A ——水樣中草甘膦對應的峰面積(μS×min);
a ——校準曲線的斜率;
b ——校準曲線的截距;
V1 ——水樣體積(mL);
V2 ——稀釋后樣品體積(mL)。
下一篇:污水中總銻的快速檢測方法